سلام من الله عليكم ايها الاحباب تلبية لطلب بعض مشتركي المدونة
والذين ارسلوا لي رسائل الى البريد الالكتروني يريدون شرح قواعد التكامل , ها أنا
ذا ابأ بالنشر في هذا الموضوع وسأستخدم الكتابة اليدوية وتصوير الشرح حتى لا تأخذ
مني الكتابة بالكمبيوتر وقت كبير للدرس الواحد .
ولكني قبل ذلك سأبدأ ببعض الملاحظات التي قد تفيدك في فهم الرياضيات وهي من تجربتي الشخصية حيث انني ان شاء الله سأكتب قصتي في موضوع مستقل في هذه المدونة وحكايتي مع الرياضيات قريباً ان شاء الله ,,, لكي تزيل من دماغك عبارة الرياضيات صعبة او ما دخلت مزاجي .....خصوصا التفاضل والتكامل ...
ولكني قبل ذلك سأبدأ ببعض الملاحظات التي قد تفيدك في فهم الرياضيات وهي من تجربتي الشخصية حيث انني ان شاء الله سأكتب قصتي في موضوع مستقل في هذه المدونة وحكايتي مع الرياضيات قريباً ان شاء الله ,,, لكي تزيل من دماغك عبارة الرياضيات صعبة او ما دخلت مزاجي .....خصوصا التفاضل والتكامل ...
هناك الكثير من الطلاب يعانون من الاشتقاق والتكامل وقد تحدثت في
موضوعي عن اساسيات النهايات لماذا التفاضل يعده الطلاب صعباَ , على العموم الامر
في غاية السهولة وايضاً اكثر استمتاعاً عند فهمه ... فقسم التفاضل والتكامل متعته
افضل من الجبر والهندسة لأنك لا تتعامل مع ارقام بشكل كثير وانما متغيرات.
وبمجرد ان تفهم الصورة العامة
لاي قاعدة في التكامل او الاشتقاق تستطيع استخدامها مهما كانت قيم المعادلة او
متغيراتها .
كما ان هناك طلاب اذا راوا قوانين التكامل والاشتقاق بالانجليزي, لا
يفهمونها بل يريدونها بالعربي ...عجيب لماذا ... اذا كنت من هؤلاء الطلاب انا
سأقول لك ماهي مشكلتك ,,,مشكلتك هي انك غير مستوعب ماذا تعني الــX و الــy او بالعربي الــ س , والــ ص
.. ولا تعرف ايضاً ما هو المقدار والدالة ,,, ولا تستطيع التعامل مع الاقواس
,,,ولا تعرف ما هو المُعامل ,, وووووو الخ من الاساسيات التي ستجدها في كتب
المراحل الاساسية خصوصاً الصف التاسع والثامن والسابع صدقني هذه هي مشكلتك فهي
كانت مشكلتي قبل مشكلتك فاذا كنت تريد ان تستوعب الرياضيات انصحك وبشدة وعن تجربة
شخصية ان تذاكر كتب الرياضيات للصفوف من سابع الى تاسع ..مذاكرة جيدة وعميقة ,,,وتفهم
ماذا يعني الاستاذ عندما يقول فرق بين مربعين ,,فرق مكعبين ,,,او عندما تراه يحل
الامثلة وهو يقول الاول في الثاني في 2 ,,,بالضرب في المرافق ,,, بأخذ عامل مشترك
نجد ان ,,,,,الخ من العبارات التي تسمعها في الفصل مع الاستاذ ,,هذه الامور حاول
بقدر الامكان ان تجعلها في عقلك مخزونة في ذاكرتك العميقة اجعلها كأنها عبارات
مألوفة لك ... ثم بعد ذلك كتاب الرياضيات
للصف الاول الثانوي واي شيء لم تفهمه ابحث عنه ما هو كذا وكذا ,,,ماذا تعني كذا
وكذا ,,,,,وانا اضمن لك 100% انك لن تعاني أي صعوبة في الصف الثاني ثانوي والثالث
الثانوي بل انك لن تشعر بأي متعه في المذاكرة الا اذا ذاكرت الرياضيات لا سيما في
الصف الثالث الثانوي الذي فيه مواضيع ومسائل تجعل العقل يعمل بكل متعه وعُمق ,,,, خصوصا
عندما تصل لقسم التفاضل والنهايات والاشتقاق ووووو الخ .
لكي تفهم القوانين التي رموزها بالانجليزية :
لاحظ يا صديقنا الــ س او الــ ص هي متغيرات مجهولة تدل على انه هناك
شيء يحل محلهم لا نعلمه ربما يكون رقم او ربما يكون مقدار او دالة او لوغاريتم او أي
شيء كذلك نفس الشي لو وجدته بالانجليزي
فحرف X يعني هو الـ س
وحرف الــy هو الــ ص
كما ان د(س) تعني دالة تحمل المتغير س
او بالانجليزي f(x) تعني دالة فيها متغير x
وحرف الدال اختصار لكلمة دالة وحرف الــf ايضا اختصار لكلمة دالة غير
انها بالانجليزي والتي تعني function ..
و ln يعني لوغاريتم طبيعي أي اللوغاريتم الذي
اساسة هـ ويعني بالانجليزي e
و log يعني ايضا لوغاريتم ولكن
اللوغاريتم العشري يعني اللي اساسة 10 ونحن في العربية نعامل اللوغاريتم سواء
الطبيعي او العشري برمز واحد وهو (لو) وهذا خطأ فادح لذلك اتفق العرب ان يكتبوا
اللوغاريتم الطبيعي بدون أي شي والعشري مع الاساس 10 يكتبوها تحت الواو ,,لكن في
الانجليزي اتفقوا ان يكون الطبيعي ln حيث
الــn اختصار لكلمة طبيعي بالانجليزيه والتي تعني natural والعشري log ...
Sin تعني جا
Cos تعني
جتا
Tan تعني ظا
Cot تعني
ظتا
Sec تعني قا
Csc تعني
قتا
يمكنك حفظها بالاستمرار في حل مسائل الرياضيات ,,,,
لقد اسهبت كثيراً في الكلام الان سأشرح بعض القواعد في التكامل :
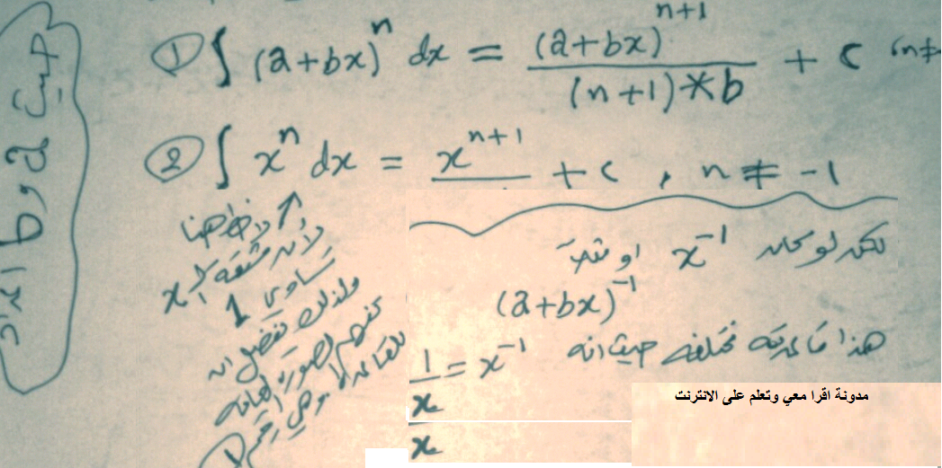
قواعد التكامل القاعدة الاولى :
تكامل العدد الثابت : لاحظ الصورة :مع المثالالقاعدة الثانية :
تكامل القوى مثلاً Xn او n(a+bx) حيث n لا يساوي -1 : لاحظ الصورة :القاعدة الثالثة:
أي عدد ثابت مضروب في دالة يمكننا اخراجة خلف اشارة التكامل والعكس
كذلك ... لو كان مثلاً a عدد ثابت يكون لاحظ الصورة مع المثال
القاعدة الرابعة
لو كان معي دوال يكون تكامل المجموع الجبري لهذه الدوال يساوي مجموع تكاملات هذه الدوال أي ان لا حظ الصورة مع المثالمثال 2 للقاعدة الرابعة
القاعدة الخامسة :
تكامل دالة مضروبه في مشتقتها يساوي الدالة مرفوعة لقوتها زائد واحد .لا
حظ الصورة
القاعدة السادسة
ذكرتها في صورة القاعدة الثانية اعلاه ..هل تذكرها ,,,
والقاعدة هي اذا كان البسط مشتقة المقام فإن حل التكامل يكون لوغاريتم
القيمة المطلقة للمقام بصورة عامة شاهد الصورة
اكتفي بهذا القدر ونلتقي في درس اخر بإذن الله وسنأخذ فيه قواعد تكامل
الدوال المثلثية .
اذا اعجبك الدرس لا تبخل علينا بمشاركته ولا تتردد ان تضع سؤالك في التعليقات
دمت بألف خير











جميل بارك الله فيك
ردحذفلقد سرني ذلك شكرا على زيارتك المشرفة
حذفعندي هاد مشتق تابع بدي التابع لاصلي ممكن المساعدة y=1/x+1
ردحذفوضح سؤالك ؟؟؟؟ اما ان كنت تقصد ايجاد الدالة الاصلية فقم بعمل تكامل للدالة
حذفعفوا
ردحذفبارك الله فيكم عمل في منهى الروعة
ردحذفوجزاكم الله خيرا على هذا العمل
نسأل من الله تعالى ان يكون في ميزان حسناتكم
واياك ياغالي مشكور على مرورك الرائع
حذفكلامك الذي في البدايه رائع بحق
ردحذفومحفز جدا
شكرا على جهودك
انا سعيد جداً بذلك ,,, مشكور يا غالي على زيارتك المشرفة تحياتي
حذفلماذا توضع القيمة المطلقة لللوغاريتم في القاعدة السادسة
ردحذفشكرا لكم وانا ادرس الرابعة متوسط واريد حل مسألة هيلبرت المصتعصية حلها ادعولي بالتوفيق والنجاح لينا وليكم
ردحذفالشرح جدا مفهوم وراقي.هل يوجد كتب pdf
ردحذفبارك الله فيكم وجزاكم عنا خير ونتمنى الاستمرار في التعريف بمزيد من الدروس والقواعد المتعلقة بالتكامل والتفاضل والمصفوفات بنفس الطريقة وفي ميزان حسناتكم ليوم الدين
ردحذفبارك الله فيكم
ردحذفبارك الله فيكم
ردحذفكثر الله خيرك
ردحذف