السلام عليكم ورحمة الله وبركاته احبابي زوار مدونة اقرا معي وتعلم على الانترنت كثير من الطلاب يعانون من قوانين التكاملات ولذلك اليوم نقدم اليكم القوانين الاساسية في الاشتقاق والتكامل وايضا كتاب فيه القوانين الهندسية في التكامل يمكنك تحميله من الرابط التالي .>>> موسوعة قوانين التكامل الهندسية تعتبر قوانين التكامل الاساسية .وهي جميع قوانين التكامل
قد تهمك المدونة التالية
ملخصات الثانوية العامة في اليمن
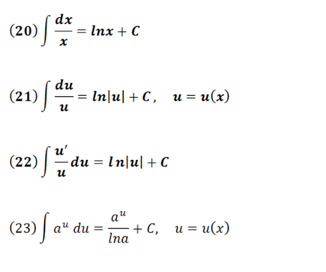
قوانين التكامل :
قد تحتاج قراءة
قواعد التكامل شرح تفصيلي لست قواعد مع توضيح مشاكل الرموز الانجليزية وفهمها
كذلك قد تحتاج شرح تكامل الدوال المثلثية
هنا تجدون نماذج اختبارات رياضيات ثالث ثانوي لسنوات سابقة قديمة حصريا لدى المدونه
قد تهمك المدونة التالية
ملخصات الثانوية العامة في اليمن
لمشاهدة نماذج اختبارات ثالث ثانوي اليمن اضغط على الرابط التالي
نماذج اختبارات ثالث ثانوي اليمنقوانين التكامل :
قد تحتاج قراءة
قواعد التكامل شرح تفصيلي لست قواعد مع توضيح مشاكل الرموز الانجليزية وفهمها
كذلك قد تحتاج شرح تكامل الدوال المثلثية
هنا تجدون نماذج اختبارات رياضيات ثالث ثانوي لسنوات سابقة قديمة حصريا لدى المدونه
.jpg)





شكرا اخي الكريم
ردحذفلا شكر على واجب اخي الكريم وشكرا على مرورك الرائع
حذفأزال أحد مشرفي المدونة هذا التعليق.
حذفشكراً على هذا المجهود
حذفالعفو اخت ايمان شكرا لزيارتك
حذفواياك اخي الكريم مشكور على مرورك الرائع
ردحذفرووووووووووعه في قمه الرووووووعه عمل اكثر من رائع احلى مدونه صادقه شفتها ....كل مافيها رائع ...ومشكورين على دعمكم الفني عبر الواتس ...شكرا فقد استلمت حل المسأله ....
ردحذفاشكرك جزيل الشكر انا طالب صيدلة سنة اولى وعندي مادة وياضيات مستوى اول فقط والحمد لله استفدت كتير شكراً جزيلاً
ردحذفكم يسرنا ذلك اخونا الغالي ... يسعدنا مرورك
حذفتشكراتي لك
ردحذفالعفو ... يسرنا عودتك ياغالي ... سعدنا بزيارتك وتعليقك
حذفلو سمحتو لو تشرحو الرموز في القواعد
ردحذفمرحبا بك وشكرا على تعليقك نحن هنا لنساعدك اي رموز تقصد وتريد شرحها الx و ال y او sin وال cos ... الخ يرجى ارسال سؤالك الى بريدنا الالكتروني او رسالة عبر الفيس بوك من خلال صفحتنا على الفيس بوك
حذفتابعونا سيتم قريباً نشر ملاحظات في كيفية توظيف قوانين التكامل والاشتقاق .... نحن في صدد الاعداد للدروس ربما سنأخذ وقت حتى نقوم بتجميعها ونشرها كل يوم بيومه ... لو قمنا بنشر بعضها الان سنضظر للتأخير بين كل درس ودرس ...تحياتنا لكم ايها الزوار ومرحبا بكم في قناة اقرا معي وتعلم على الانترنت في كل المجالات ان شاء الله
ردحذفالاروع مرورك ياغالي
ردحذفجزاك الله خيراً بدعنجد افدتني اخي الكريم
ردحذفواياك ياغالي لقد سررت كثيرا بذلك
حذفبارك الله فيكم
ردحذفوفيك ياغالي شرفت المدونة
حذفليش ما تعملو فيديو بيشرح طريقة الحل
ردحذفسنعمل على ذلك ان شاء الله
ردحذف